INTRODUÇÃOA comunicação não-verbal, frequentemente expressa pela face tem importante função subjetiva (1), sendo elemento essencial para o desenvolvimento do indivíduo ocidental, pois, ao mesmo tempo em que os traços e expressões faciais estão envolvidos no processo comunicativo e de socialização, eles são essenciais para a individualização, revelando a interioridade e os sentimentos de cada sujeito (2).
Pensando na importância comunicativa endereçada ao rosto fica interessante discutir as limitações e consequências que paralisia facial periférica (PFP) causa na vida de um sujeito que sofre com essa afecção.
Em termos orgânicos, a PFP decorre da redução ou interrupção do transporte axonal ao VII nervo craniano resultando em paralisia completa ou parcial da mímica facial. O nervo facial, é frequentemente o mais afetado do corpo humano (3). Percorre um trajeto ósseo de aproximadamente 35 mm e fica sujeito à ação de processos compressivos e infecciosos de natureza variada que podem interromper seu influxo nervoso, levando ao bloqueio total de suas funções (4).
Podem ocorrer alterações na fala, mastigação, deglutição, gustação, salivação e lacrimejamento, hiperacusia e hipoestesia no canal auditivo externo (5, 6, 7, 8). Esteticamente, a desarmonia entre a mímica facial e a fala é constrangedora, não só para os sujeitos acometidos como para aqueles que os cercam (1). Portanto, esse acometimento causa distúrbios funcionais e estéticos importantes para o indivíduo(9).
Com relação à etiologia, diversos estudos demonstram que a Paralisia de Bell ou idiopática é o diagnóstico mais frequente, atingindo mais da metade dos casos (10, 11), sendo um diagnóstico baseado na ausência de prova sorológica para infecções, traumatismos, tumores e/ou herpes zoster (12,13).
O tempo de recuperação da PFP é indeterminado, podendo haver uma regeneração total ou parcial dos movimentos faciais, dependendo do grau da lesão do nervo facial, de suas diversas etiologias, da idade do paciente e de como o caso foi conduzido pelos profissionais da saúde envolvidos (14).
Em sua fase inicial, a PFP é denominada como flácida, sendo observadas flacidez da musculatura em repouso e hipofunção dos movimentos, com incapacidade parcial ou total para realizar movimentos mímicos e esfincterianos da face (15).
Com a regeneração do nervo facial há possibilidade de recuperação dos movimentos faciais (16), ocorrendo uma volta progressiva dos movimentos, que pode evoluir para a recuperação total da movimentação e da mímica facial, sem a presença de sequelas (15).
Porém, quando essa regeneração é parcial, podem ser constatadas sequelas, tais como: sincinesias, espasmo hemifacial pós-paralítico e/ou persistência do déficit motor com contraturas musculares (17,18). Outra característica das sequelas pode ser o permanecimento da hipofunção da muscultaura facial afetada, típica da fase flácida da PFP (19).
A deformidade facial e os movimentos involuntários e indesejáveis, comuns após o estabelecimento das sequelas, mais do que prejudicar a estética e a funcionalidade, podem interferir significativamente na comunicação interpessoal. Tal condição limita a expressividade do indivíduo, acarretando uma variedade de problemas psicossociais, como depressão, ansiedade, rejeição e paranóia (20).
Na reabilitação dos casos de PFP, tradicionalmente, o fonoaudiólogo desenvolve um trabalho focado no sistema estomatognático, a partir da investigação dos prejuízos causados na musculatura facial pela lesão do nervo facial. Nessa abordagem avalia as funções relacionadas a essa musculatura, intervindo com o objetivo de promover a recuperação dos aspectos funcional e estético. Contudo, é desejável que os aspectos psíquico e social associados a esse quadro clínico não sejam negligenciados (21).
Feitas essas considerações observa-se, em síntese, que dificuldades em usar a mímica facial, além das alterações na fala, causam sofrimento ao indivíduo; provocando, muitas vezes, distúrbios físicos, psíquicos e sociais associa¬dos (21).
A partir do exposto, esse trabalho foca-se na PFP sob o ponto de vista dos sujeitos que sofrem com suas consequências e, nessa perspectiva, pretende contribuir para a efetividade do método clínico fonoaudiológico.
Considerando esses aspectos, este estudo tem como objetivo geral: investigar os conteúdos psíquicos e os efeitos sociais associados à PFP em sujeitos adultos, e como objetivo específico: comparar esses dados em três grupos de pacientes, a saber, nas fases flácida, de recuperação e sequelar.
MÉTODONatureza da pesquisa: Clínica quanti-qualitativa, desenvolvida por meio de estudo de casos.
Casuística: 16 sujeitos adultos com PFP, sendo 04 na fase flácida, 06 na fase de recuperação e 06 na fase sequelar.
Critérios de inclusão:
-Foram selecionados os sujeitos em atendimento no setor de Fonoaudiologia na Instituição em que foi realizada a pesquisa.
-Adultos, de ambos os sexos, acima de 18 anos; já que a ocorrência de PFP na população pediátrica (1-15 anos) é três vezes menor do que o encontrado na população adulta (22).
-A PFP teve origem desconhecida ou idiopática, já que na grande maioria dos casos não ocorrem outras doenças associadas (11).
-A fase da PFP foi determinada a partir da realização de avaliação otorrinolaringológica e fonoaudiológica. Além disso, foi considerado o tempo de instalação da PFP e a observação de sinais clínicos que indicassem a estagnação, a evolução ou a instalação de sequelas.
-Esses sujeitos manifestaram deformidade moderada (III), disfunção moderada grave (IV) e disfunção grave (V), de acordo com a escala de avaliação de HOUSE & BRACKMANN (23) que inicia em grau I indo até o grau VI.
-A avaliação dos movimentos faciais foi baseada no protocolo utilizado no Setor de Reabilitação Fonoaudiológica da instituição em que foi realizada a pesquisa (24).
Critério de exclusão
-A PFP não deve estar associada a outras doenças ou lesões traumáticas, para que não se configure como sintoma secundário.
Procedimento
Etapa 1: Os dados pessoais (idade, sexo, profissão e queixas), assim como a história clínica, instalação da PFP, exames realizados, diagnóstico e condução terapêutica, foram levantados nos prontuários dos pacientes em atendimento.
Etapa 2: A condição funcional da face foi classificada na fase flácida, de recuperação e sequelar, seguindo o protocolo utilizado pela Instituição e descrito na casuística, para que assim, comprove-se o quadro de PFP dos sujeitos.
Na avaliação da mobilidade da musculatura facial foi pedido que cada movimento fosse executado 5 vezes, para uma melhor precisão da cotação em um dos cinco graus (0 - contração não visível nem a olho nu nem à luz rasante à 4 - o movimento é efetuado de maneira ampla, sincrônica e simétrica, em relação ao lado são) (24).
Etapa 3: As entrevistas foram abertas, individuais, com duração média de 50 minutos e com o intuito de deixar que os sujeitos pesquisados expressassem livremente, particularmente quanto aos aspectos subjetivos relacionados à PFP, a partir da seguinte questão: Quais foram as consequências da PFP na sua vida social e emocional?
Quando necessário, a pesquisadora fez intervenções durante a entrevista, focando o objetivo da pesquisa. Também buscou encorajar o relato espontâneo do paciente, sem dirigi-lo, visando detectar as manifestações do funcionamento mental em suas dimensões verbais e não verbais (25).
Registro e armazenagem dos dados
A avaliação da condição funcional dos sujeitos foi fotografada e filmada, para que houvesse registro e comprovação.
As entrevistas foram registradas em áudio e vídeo e armazenadas em DVD-ROM, para que fossem posteriormente, transcritas na íntegra em ortografia regular e analisadas com maior rigor.
Análise de resultados
Fase 1: A interpretação do material coletado nas entrevistas foi pautado na análise categorial (26). A partir da investigação do que cada um dos elementos tem em comum com os outros, as categorias foram organizadas e agrupadas. A estruturação desse processo depende do isolamento dos elementos (inventário) e da organização das mensagens (classificação) (26).
Fase 2: Descrição das categorias convergentes e divergentes entre os discursos de todos os sujeitos, por estatística simples.
Fase 3: Comparação entre as categorias presentes no grupo de pacientes na fase flácida, de recuperação e sequelar, por estatística simples.
Fase 4: O material levantado nas entrevistas foi analisado a partir de referenciais teóricos da psicanálise (conteúdos psíquicos), da psicologia social (Teoria do Estigma) e da fonoaudiologia (acervo sintomato¬lógico).
Roteiro de avaliação
O roteiro de avaliação de conteúdos psíquicos e efeitos sociais associados à PFP foi elaborado a partir dos resultados obtidos nessa pesquisa e está estruturado em blocos temáticos, baseados na análise categorial (26) dos conteúdos das entrevistas com os sujeitos estudados.
Ética
De acordo com as normas éticas preconizadas para pesquisas utilizando seres humanos, só participaram da pesquisa os sujeitos que concordaram em assinar o "Termo de Consentimento Livre e Esclarecido" (TCLE). A identidade dos sujeitos foi preservada, portanto, seus nomes foram substituídos por numeração. A pesquisa foi aprovada no Comitê de Ética da Instituição, nº 251/09.
RESULTADOSA amostra consistiu de 16 pacientes que tiveram PFP: 11 (68,7%) são do sexo feminino, e 5 (31,3%) do sexo masculino.
Na Tabela 1 são apresentadas as frequências e porcentagens gerais e de cada fase da PFP com relação a ocorrência de cada conteúdo psíquico. Observa-se que os fatores que ocorreram com maior frequência no total da amostra, foram susto no momento da PFP e desânimo após a PFP, cada um deles relatado por 12 (75%) pacientes.
Os fatores que ocorreram com maior frequência na fase flácida foram ansiedade, desânimo após a PFP, cada um deles relatado por 4 (100%) pacientes.
Na fase de recuperação observou-se uma frequência menor, atingindo a porcentagem de 50% para os conteúdos: calma e susto no momento da PFP; desânimo, tristeza e nada de relevante após a PFP.
A fase sequelar foi a que apresentou maior frequência de respostas, sendo o susto no momento da PFP e a tristeza após a PFP relatados por 6 os pacientes (100%) e o estresse antes da PFP, o desânimo referido por 5 (83,3%) pacientes.
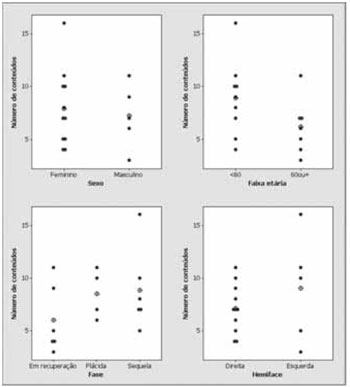
Para cada paciente foi calculado o número de conteúdos psíquicos. Na Tabela 2 encontram-se os valores observados de estatísticas descritivas para o número de conteúdos psíquicos por paciente, por sexo, faixa etária, fase e hemiface. Os valores do número de conteúdos psíquicos observados em cada paciente estão representados na Figura 1.
Observa-se comportamento semelhante nos dois sexos, isto é, pessoas dos dois sexos tendem a apresentar, em média, o mesmo número de conteúdos psíquicos; os idosos apresentam, em média, menor número de conteúdos que os mais jovens, os em recuperação apresentam menor média do número de conteúdos que os nas demais fases, e os que têm hemiface direita afetada apresentam menor média de número de conteúdos do que os que têm a face esquerda afetada.
Na análise dos efeitos sociais foram adotados os mesmo procedimentos utilizados na análise dos conteúdos psíquicos.
As frequências e porcentagens de ocorrência gerais e de cada fase da PFF de efeitos sociais são apresentadas na Tabela 3. Observa-se que os efeitos que ocorreram com maior frequência estão relacionados ao isolamento.
Na fase flácida a categoria isolamento: evita encontrar as pessoas foi relatado por 3 pacientes, ou seja, 75% da amostra. A fase de recuperação apresentou frequências de respostas abaixo de 40%, sendo destacado somente o isolamento: evita sair de casa, relatado por 2 (33,3%) dos pacientes.
A fase sequelar destaca-se por apresentar em sua maioria, frequências de respostas acima de 50% para as categorias estabelecidas, evidenciando-se que as categorias de isolamento: evita falar e encontrar as pessoas, foram relatados por 5 (83,3%) pacientes.
Para cada paciente foi calculado o número de efeitos sociais relatados. Na Tabela 4 encontram-se os valores observados de estatísticas descritivas para o número de efeitos por paciente, por sexo, faixa etária, fase e hemiface. Os valores do número de efeitos sociais observados em cada paciente estão representados na Figura 2.
Observa-se que o número de efeitos sociais por paciente não depende do sexo, é, em média, menor nos com 60 anos ou mais, tem média maior nos com hemiface esquerda afetada, e é maior, em média, nos com sequela.
DISCUSSÃOCom relação ao levantamento da caracterização dos sujeitos, pode se observar um predomínio do sexo feminino (68,7%) com relação ao masculino (31,3%). VALENÇA, VALENÇA E LIMA (18), já haviam revelado a predominância de mulheres em seu estudo, chegando a uma porcentagem semelhante, 66,7% da amostra. No estudo de GARANHANI, CAPELLI E RIBEIRO (27), também havia o predomínio de mulheres com PFP (60,8%).
Conteúdos Psíquicos
Na ocasião anterior a PFP, 31% dos entrevistados referiram tristeza por motivo fatual. Sendo que estas, em todos os casos, foram reveladas porque os sujeitos sentiram e anunciaram que o momento da entrevista foi estabelecido como local de exposição e acolhimento desses sofrimentos, como exposto por ÁVILA (28) nas afetações psicossomáticas. Abaixo, um exemplo:
"Então, porque assim, o meu problema veio de um outro problema. Porque oh, eu tenho um filho que ele é. que ele começou a usar drogas. Quando foi no dia mesmo meu filho resolveu me contar, aí quando ele me contou, eu paralisei."
"Eu acho que juntou com tudo isso. Problema do marido que bebia, problema em seguida que meu pai morreu, em seguida o problema do meu filho, aí eu juntei tudo isso, quando eu pensei que não eu tava toda torta. Aí pronto, até hoje, até hoje que eu tô. eu peço a Deus todos os dias que me dê paciência, força e coragem pra eu continuar." (Sujeito 14 - Fase sequelar)
Como enfatizado por ÁVILa (28), os sintomas não devem ser minimizados ou desprezados, é necessário a investigação da vida pessoal do doente toda vez que a etiologia de uma determinada moléstia apresentar-se confusa ou incompleta. Além disso, deve-se considerar que o tratamento consiste em fazer com que o indivíduo vença a alienação que o mantém desconhecido de si mesmo, que ele se assuma como sujeito, sem se estabelecer uma relação entre paciente e profissional de saúde de subordinação e dependência (29).
LIPOWSKI (30) ressaltou que na somatização fatores precipitantes incluem eventos vitais e situações pessoalmente estressantes, devido a seu significado subjetivo de perda ou ameaça para o indivíduo.
Um importante aspecto da personalidade dos pacientes é o denominado traço de "neuroticismo" e a vulnerabilidade ao estresse (28). LIPOWSKI (30) salienta também a tendência desses pacientes em lidar com as dificuldades da vida, em sua multiplicidade de conflitos, através da adoção de um "papel de doente", com o qual eles tentam conseguir apoio e atenção de seus familiares, bem como evitam obrigações sociais e familiares.
É necessário nesse momento lembrar, que o paciente, nessa condição frágil, precisa ser acolhido e escutado, levando-se em consideração os aspectos que ele associou a seu processo de adoecimento (28, 31).
A pesquisa de REBELO, ROLIM e FERREIRA (32) relembra que a pessoa inicia um percurso de sofrimento íntimo quando está doente, incluindo emoções e sentimentos de profundo mal-estar, ansiedade, impaciência e tristeza.
Destaca-se que 75% (12 sujeitos) dos entrevistados alegaram que após a PFP sentiram desânimo:
"Eu chorava muito, eu não dormia. Mexeu com o meu apetite, mexeu com o meu sono, eu chorava porque, independente da gente se sentir horrível, ridícula, horrorosa, mexe mesmo com o sistema nervoso, comigo mexeu muito, muito, muito." (Sujeito 5 - Em recuperação).
Esse dado está de acordo com o estudo de Byrne (33) que aponta a tendência do sintoma depressivo (65%) nos sujeitos acometidos pela PFP.
Diante desses trechos é interessante ressaltar que o processo de conscientização do indivíduo sobre o que o leva a adoecer no plano físico, psíquico e social pode proporcionar a mudança dos aspectos negativos que contribuem para esse estado de desarmonia. A descoberta dos fatores estressantes que influenciam na doença é fundamental para que ocorram mudanças que também se referem à conscientização de padrões de comportamento prejudiciais à pessoa, tanto físicos como emocionais (34).
Em relação ao sentimento de Vergonha (50%) é interessante lembrar o trabalho de SILVA e MÜLLER (34) a respeito de doenças de pele, onde o indivíduo se utiliza de camuflagem para esconder os problemas de pele ou evitam as atividades de rotina, por perceber a reação negativa por parte dos outros, o que provoca o sentimento de vergonha.
"É, tipo assim, você tá acostumado com a sua fisionomia e de repente você se vê torta, o rosto deformado, entendeu. Você dá uma risada e parece que alguém rasgou a sua boca e colocou pra cima. Sabe, é devastador, devastador. Isso acaba com a autoestima da gente, de ficar com o ego lá embaixo, eu fiquei. Eu me senti terrivelmente mal, eu não tinha vontade de olhar no espelho, entendeu. Eu tinha vergonha de comer na vista dos outros e sorri então, sem chance." (Sujeito 5 - Em recuperação).
O fato da PFP idiopática não ser uma afecção organicamente grave, ocasiona uma subestimação do quadro, podendo ser semelhante ao relatado por SILVA e PAIS-RIBEIRO (35) no quadro de degenerescência macular, podendo distanciar a relação entre paciente e profissional da saúde.
"se olha pra uma pessoa com paralisia facial, você não imagina que seja grande coisa, mas mexe. Eu nunca que ia imaginar que isso mexesse tanto com o meu eu, entendeu, porque de todos os problemas que eu tive de saúde foi o que mais mexeu comigo, interiormente." (Sujeito 5 - Em recuperação).
Um dos sujeitos alegou que evita olhar seu rosto no espelho e vale enfatizar que faz seis (6) anos que a PFP se instalou.
"Então, muitas vezes eu nem me olho no espelho, porque cada vez que eu me olho eu me sinto muito triste."(Sujeito 14 - Fase sequelar).
Analisando o que SANT'ANNA (36) afirmou sobre as intenções subjetivas reveladas por meio do estudo do rosto, é importante destacar o impacto psíquico causado por uma alteração facial tão drástica como no quadro de PFP. A dificuldade em se reconhecer e se expressar por meio da face, trouxeram a impossibilidade do sujeito 14 se olhar no espelho.
Finalizando esse item, pode se observar que a discussão foi permeada por referenciais de pesquisas e da literatura que levantavam aspectos subjetivos da história do rosto e aspectos psicossomáticos envolvidos em diversas patologias. Por sua vez, constatou-se a escassez de referências específicas de pesquisas quanto à PFP, e os trabalhos específicos sobre o tema apresentavam dados gerais relativos a mudanças comportamentais sem explicitá-las após a instalação da PFP.
Efeitos sociais
Nesse item foram expostos a variedade de estratégias que os sujeitos estigmatizados empregam para lidar com a rejeição alheia e a complexidade de tipos de informação sobre si próprios que projetam nos outros, como foi estabelecido por GOFFMAN (37).
"não que eu me escondi, que eu... lógico, eu fiquei preocupada, né, fiquei preocupada porque as pessoas merecem esse carinho, esse respeito do nosso falar, do nosso rosto. Nosso rosto é tudo. É imagem que vai pra todo o lugar." (Sujeito 16 - Em recuperação).
Evitar sair de casa (50%), em locais especificamente estabelecidos e se utilizar recursos para não ser visto foi um acontecimento muito comentado ao longo das entrevistas:
"Porque eu moro (...) quase trinta e cinco anos, então a gente conhece todo mundo, os vizinhos, todo mundo, até para ir na rua é meio complexado, chega tem que por uma roupa escura, parece bandido, parece que tá fugindo da. e assim, porque é, vamos supor, é lógico, você é uma pessoa muito educada, a pessoa vai perguntar e você vai parar e responder né." (Sujeito 7 - Fase flácida).
Nesse caso, o indivíduo que sofre com o seu estigma se sente despontencializado a frequentar determinados locais, pois pressupõe que o outro, mesmo que o desconheça, reparará em sua diferença (37).
COULSON, O'DWYER, ADAMS e CROXSON (38) avaliaram o impacto que a PFP tem na qualidade de vida desses indivíduos por meio de questionários abertos, encontrando que quanto maior o prejuízo dos movimentos da expressão facial ocorre diminuição considerável da função social, o que é compatível com os resultados levantados nessa pesquisa.
"(...) tomava minha cervejinha, ouvia música ao vivo, dançava ali no. fora, onde tem os barzinhos ficava fora. Eu gostava muito de ir, de ouvir as músicas e me divertia e agora eu não vou mais." (Sujeito 8 - Fase sequelar).
38% dos sujeitos entrevistados evitam tirar fotos:
"Não tiro. Já não tirava antes porque eu tinha muita timidez, mas tirava e tudo mais, agora não. Nunca mais tirei. Vai, se hoje eu precisar tirar um documento pra uma foto, eu não vou tirar." (Sujeito 9 - Fase flácida).
Com essa condição quase que totalmente incapacitante de se expressar por meio da face, mesmo que a condição seja de menor expressão dos sentimentos, como no caso da foto 3X4 para o RG, o sujeito se sente desconfortável para registrar sua face por meio de fotos. Com a maleabilidade muscular, é possível deduzir os sentimentos de um indivíduo somente se atentando as feições do rosto (39). Com a condição de PFP fica difícil ocorrer essa maleabilidade.
44% dos sujeito evitam participar de cenas alimentares:
"a comida cair da boca na vista de todo mundo, até a fome tira. O apetite acaba, você não sente vontade de comer. Eu emagreci mais de três quilos em quatro meses e acabou comigo, quer dizer, claro que eu tava precisando de emagrecer mesmo (risos), mas foi devastador. Água você não consegue tomar mais, você toma a água, a água vai caindo em sua roupa e isso é terrível." (Sujeito 5 - Em recuperação)
Nas considerações de GOFFMAN (37), para os estigmatizados, a sociedade reduz as oportunidades, esforços e movimentos, não atribui valor, impõe a perda da identidade social e determina uma imagem deteriorada, de acordo com o modelo que convém a sociedade. O diferente passa a assumir a categoria de "nocivo", "incapaz", fora do parâmetro que a sociedade toma como padrão. Ele fica à margem e passa a ter que dar a resposta que a sociedade determina. O social tenta conservar a imagem deteriorada com um esforço constante por manter a eficácia do simbólico e ocultar o que interessa, que é a manutenção do sistema de controle social (37).

Figura 1. Valores individuais e médios do Número de conteúdos psíquicos por paciente em cada categoria de Sexo, Faixa etária, Hemiface e Fase : média.

Figura 2. Valores individuais e médios do Número de efeitos sociais por paciente em cada categoria de Sexo, Faixa etária, Hemiface e Fase - : média.
CONCLUSÃOOs resultados indicaram que, comparativamente, os sujeitos portadores de sequelas apresentam maior significância estatística de conteúdos psíquicos e efeitos sociais associados à PFP. Seguidos, respectivamente, dos que se encontram nas fases flácida e de recuperação.
Contudo, de maneira geral, os relatos dos sujeitos estudados revelou vasta, e significativa, gama de conteúdos subjetivos que devem ser investigados e incorporados pelos fonoaudiólogos no tratamento da PFP, de maneira a promover maior efetividade do método clínico fonoaudiológico.
Sugere-se a continuidade de pesquisas sobre o tema com casuística ampliada e foco nas seguintes vertentes: a escuta terapêutica dos pacientes e as implicações clínicas da abordagem biopsicosocial da PFP.
REFERÊNCIAS BIBLIOGRÁFICAS1. Fouquet ML. Atuação fonoaudiológica nas paralisias faciais. In: Barros APB, Arakawa L, Tonini MD, Carvalho VA. Fonoaudiologia em Cancerologia. São Paulo: Comitê de Fonoaudiologia em Cancerologia; 2000, pp. 99-104.
2. Courtine JC, Claudine H. História do rosto: exprimir e calar as suas emoções (do século XVI ao início do século XIX). Lisboa: Editora Teorema, 1988.
3. Fernandes AMF, Lazarini PR. Anatomia do Nervo Facial. In: Lazarini PR, Fouquet ML. Paralisia Facial: Avaliação, Tratamento e Reabilitação. São Paulo: Lovise; 2006, pp. 1-10.
4. Bento RF. Doenças do Nervo Facial. In: Bento RF, Miniti A, Manore S. Tratado de Otologia. São Paulo: Edusp; 1998, pp. 427-429 Edusp.
5. Adams RD. Neurologia. Rio de Janeiro: McGraw-Hill; 1998.
6. Valença MM, Valença LPAA, Lima MCM. Nervo facial: aspectos anatômicos e semiológicos. Neurobiol. 1999, 62:77-84.
7. Vasconcelos BEC, Dias E, Dantas WRM, Barros ES, Monteiro GQ. M. Paralisia facial periférica traumática. Rev Cir Traumat Buço-Maxilo-Facial. 2001, 1:13-20.
8. Colli BO, Costa SS, Cruz OLM, Rollin GAFS, Zimmermann H. Fisiopatologia do nervo facial. In: Costa SS, Cruz OLM, Oliveira JAA. Otorrinolaringologia: Princípios e prática. Porto Alegre: Artes Médicas; 1994, pp. 193-203.
9. Zemlin WR. Princípios de Anatomia e Fisiologia em Fonoaudiologia. 4ª ed.; Porto Alegre: Artmed, 2000.
10. Lazarini PR, Almeida R. Etiologia da Paralisia Facial Periférica. In: Lazarini PR, Fouquet ML. Paralisia facial: avaliação, tratamento e reabilitação. São Paulo: Lovise; 2006, pp. 81-108.
11. Portinho F. Paralisia de Bell. In: Campos AH, Costa HOO. Tratado de Otorrinolaringologia. São Paulo: Roca; 2002.
12. Hyden D, Roberg M, Forsberg P, Fridell E, Fryden A, Linde A, Odkvist L. Acute "Idiopathic" Peripheral Facial Palsy: Clinical, Serological, and Cerebrospinal Fluid Findings and Effects of Corticosteroids. Am J Otolaryngol. 1993, 14:166-79.
13. Lunan R, Nagarajan, L. Bell's palsy: A guideline proposal following a review of practice. J Paediatr Child Health. 2008, 44:219-20
14. Irintchev A, Wernig A. Denervation and reinnervation of muscle: physiological effects. European archives of oto-rhino-laryngology: official journal of the European Federation of Oto-Rhino-Laryngological Societies (EUFOS) : affiliated with the German Society for Oto-Rhino-Laryngology - Head and Neck Surgery 1994:S28-30.
15. Fouquet ML, Serrano DMS, Abbud IE. Reabilitação fonoaudiológica na paralisia facial periférica: fases flácida e de recuperação do movimento. In: Lazarini PR, Fouquet ML. Paralisia facial: avaliação, tratamento e reabilitação. São Paulo: Lovise; 2006, pp 65-74.
16. Goffi-Gomez MVS, Bernardes DFF. Reabilitação miofuncional na paralisia facial. In: Costa SS, Cruz OLM, Oliveira JAA. Otorrinolaringologia: princípios e práticas. Porto Alegre: Artes Médicas: 2006.
17. Freitas KCS e Goffi-Gomez MVG. Grau de percepção e incômodo quanto à condição facial em indivíduos com paralisia facial periférica na fase de sequelas. Rev Soc Bras Fonoaudiol. 2008, 13(2):113-8.
18. Valença MM, Valença LPAA, Lima, MCM. Paralisia facial periférica idiopática de Bell: a propósito de 180 pacientes. Arq. Neuro-Psiquiatr. 2001, 59(3B):733-9.
19. Vanswearingen JM, Brach JS. Changes in facial movement and synkinesis with facial neuromuscular reeducation. Plast Reconstr Surg. 2003, 111(7):2370-5.
20. Diels HJ, Combs, D. Neuromuscular retraining for facial paralysis. Otolaryngol Clin North Am. 1997, 30(5):727-43. Review.
21. Devriese PP. Treatment os sequelae after paralysis: a global approach. J laryngol Otol. 1998, 112(5):429-431.
22. Rowlands S, Hooper R, Hughes R, Burney P. The epidemiology and treatment of Bell's palsy in the UK. Eur J Neurol. 2002, 9:63-7.
23. House JW, Brackman DE. Facial nerve grading system. Otoryngo Head Neck Surg. 1985, 93(2):146-7.
24. Lacôte M, Chevalier AM, Miranda A, Bleton JP, Stevenin P. Avaliação da função motora da face nas lesões periféricas e centrais. In: Lacôte M, Chevalier AM, Miranda A, Bleton JP, Stevenin P. Avaliação clínica da função muscular. São Paulo: Manole; 1987, pp. 13-24.
25. Volich RM. Psicossomática: de Hipócrates à psicanálise. 7ª Ed. São Paulo: Ca do Psicólogo, 2010.
26. Bardin L. Análise de conteúdo. 7ª Ed. São Paulo: Escuta, 2002.
27. Garanhani MR, Cardoso JR, Capelli AMG, Ribeiro MC. Fisioterapia na paralisia facial periférica: estudo retrospectivo. Rev Bras Otorrinolaringol. 2007, 73(1):112-5.
28. ÁVILA LA. O eu e o corpo. São Paulo: Escuta; 2004.
29. ÁVILA LA. Doenças do corpo e doenças da alma. São Paulo: Escuta; 1996.
30. Lipowski ZJ. Somatization: the concept and its clinical application. Am J Psychiatry. 1988, 145:11.
31. Dolto F. A imagem inconsciente do corpo. São Paulo: Ed. Perspectiva; 2002.
32. Rebelo V, Rolim CE, Ferreira S. Avaliação da qualidade de vida em mulheres com cancro da mama. Um estudo exploratório com 60 mulheres portuguesas. Psicol Saúde Doenças. 2007, 8(1):13-32.
33. Byrne PJ. Importance of facial expression in facial nerve rehabilitation. Current Opinion in Otolaryngol & Head and Neck Surgery. 2004, 12:332-335.
34. Silva JDT, Müller MC. Uma integração teórica entre psicossomática, stress e doenças crônicas de pele. Estud. Psicol. 2007, 24(2):247-256.
35. Silva I, Pais-Ribeiro J. Aspectos psicossociais e qualidade de vida da degenerescência macular relacionada com a idade. Psicol Saúde Doenças. 2006, 7(2):179-193.
36. Sant'Anna DB. Cultos e enigmas do corpo na história. In: Trey MN, Cabeda TL. Corpos e subjetividades em exercício interdisciplinar. Porto Alegre: EDIPUCRS; 2004: pp. 107-131
37. Goffman E. Estigma: Notas sobre a manipulação da identidade deteriorada. 4ª Ed. Rio de Janeiro: LTC Editora; 1988.
38. Coulson SE, O'dwyer NJ, Adams RD, Croxson GR. Expression of emotion and quality of life after facial nerve paralysis. Otol Neurotol. 2004, 25(6):1014-9.
39. Maluf-Souza O. Fealdade e Anatomia: Sentidos instalados a partir de uma história do rosto. In: III ENALIHC - Encontro Nacional Linguagem, História e Cultura - é uma realização do CEPEL - Centro de Estudo e Pesquisa em Linguagem - da UNEMAT, 2009.
1) Mestre em Fonoaudiologia pela Pontifícia Universidade Católica de São Paulo (PUCSP). Fonoaudióloga Clínica.
2) Professora Titular do Departamento de Clínica Fonoaudiológica da Faculdade de Ciências Humanas e da Saúde da Pontifícia Universidade Católica de São Paulo (PUCSP).
3) Professor Assistente da Faculdade de Ciências Médicas da Santa Casa de São Paulo.
4) Professora Mestre, responsável pelo setor de Fonoaudiologia da Disciplina de Cirurgia de Cabeça e Pescoço da Irmandade da Santa Casa de Misericórdia de São Paulo.
Instituição: Pontifícia Universidade Católica de São Paulo (PUCSP) Irmandade Santa Casa de Misericórdia de São Paulo - Faculdade de Ciências Médicas da Santa Casa de São Paulo. São Paulo / SP - Brasil. Endereço para correspondência: Mabile Francine Ferreira Silva - Rua Emilia Martins Rulo, 196 - Jardim Silvio Sampaio - Taboão da Serra / SP - Brasil - CEP: 06773-300 - Telefones: (+55 11) 3722-4938/ (+55 11) 7303-0811 / (+55 11) 4138-2871.
CNPq - Conselho Nacional de Desenvolvimento Científico e Tecnológico
Artigo recebido em 21 de março de 2011. Artigo aprovado em 25 de Junho de 2011.